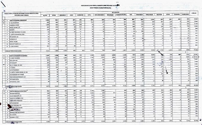
Agung INFOKU Hasil Pemilu DPRD PROV JATENG Kab Blora 2014 by tabloid infoku - April 16, 2014 Perolehan Caleg DPRD JATENG di Kab Blora data 90 % Lihat Ukuran Besar Gambar klik kanan pilih open New Tab atau Buka tautan Baru
December 14, 2025 Sumur Minyak Belanda di Desa Plosorejo Blora, Misteri Pesugihan & Semburan Sumur Minyak Yang Tidak Mengalir ke Persawahan Petani